PDF(12221 KB)
PDF(12221 KB)
PDF(12221 KB)
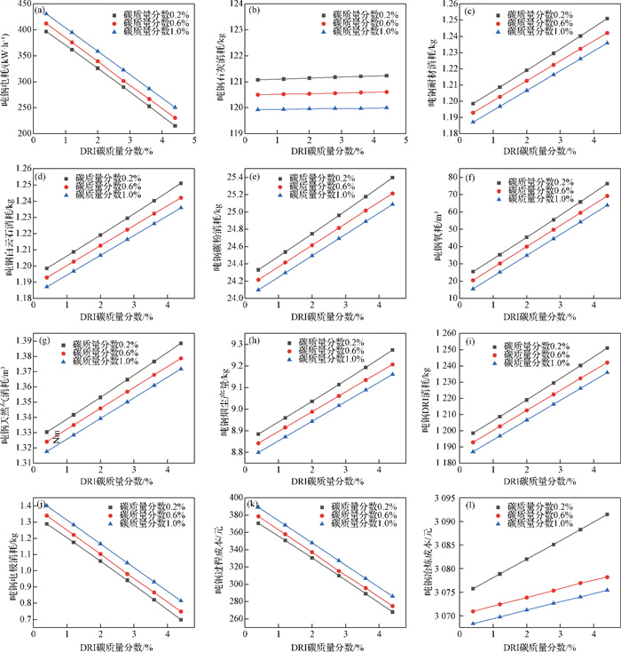
DRI碳含量对电弧炉冶炼成本的影响
({{custom_author.role_cn}}), {{javascript:window.custom_author_cn_index++;}}Effect of DRI carbon content on steelmaking costs in electric arc furnaces
({{custom_author.role_en}}), {{javascript:window.custom_author_en_index++;}}






| {{custom_ref.label}} |
{{custom_citation.content}}
{{custom_citation.annotation}}
|
/
| 〈 |
|
〉 |