PDF(9618 KB)
PDF(9618 KB)
PDF(9618 KB)
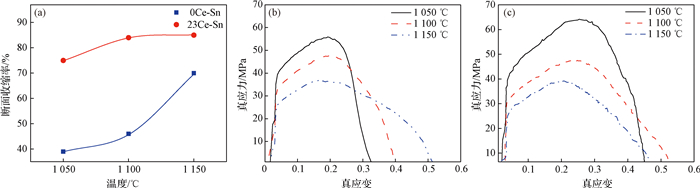
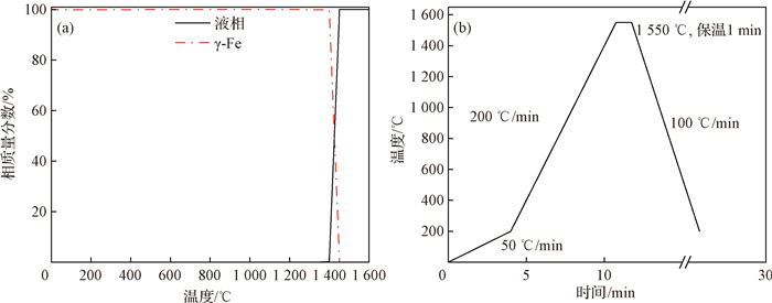
稀土Ce对含Sn因瓦合金高温热塑性的改善机制
({{custom_author.role_cn}}), {{javascript:window.custom_author_cn_index++;}}Improvement mechanism of rare earth Ce on high-temperature hot ductility of Sn-containing invar alloy
({{custom_author.role_en}}), {{javascript:window.custom_author_en_index++;}}








| {{custom_ref.label}} |
{{custom_citation.content}}
{{custom_citation.annotation}}
|
/
| 〈 |
|
〉 |