PDF(7604 KB)
PDF(7604 KB)
PDF(7604 KB)
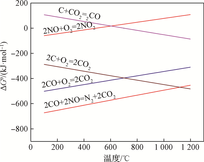
烧结过程CO和NO协同控制机理
({{custom_author.role_cn}}), {{javascript:window.custom_author_cn_index++;}}Synergistic control mechanism of CO and NO in sintering process
({{custom_author.role_en}}), {{javascript:window.custom_author_en_index++;}}














| {{custom_ref.label}} |
{{custom_citation.content}}
{{custom_citation.annotation}}
|
/
| 〈 |
|
〉 |