PDF(6625 KB)
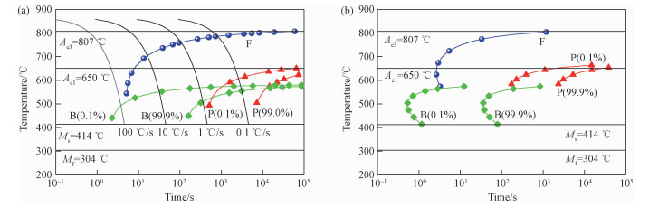
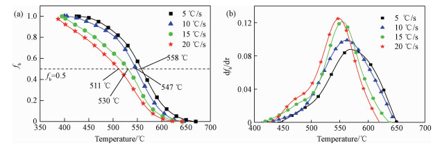
LNG储罐用低温钢筋连续冷却相变及其组织和硬度
田瑞光, 黄敬元, 张可, 李景辉, 宋明豪, 张明亚, 郑健, 彭宁琦
中国冶金 ›› 2025, Vol. 35 ›› Issue (12) : 111-119.
PDF(6625 KB)
PDF(6625 KB)
LNG储罐用低温钢筋连续冷却相变及其组织和硬度
({{custom_author.role_cn}}), {{javascript:window.custom_author_cn_index++;}}Continuous cooling transformation, microstructure, and hardness of cryogenic steel bars for LNG storage tanks
({{custom_author.role_en}}), {{javascript:window.custom_author_en_index++;}}








| {{custom_ref.label}} |
{{custom_citation.content}}
{{custom_citation.annotation}}
|
/
| 〈 |
|
〉 |