PDF(8994 KB)
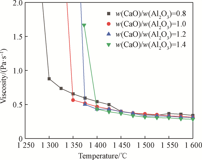
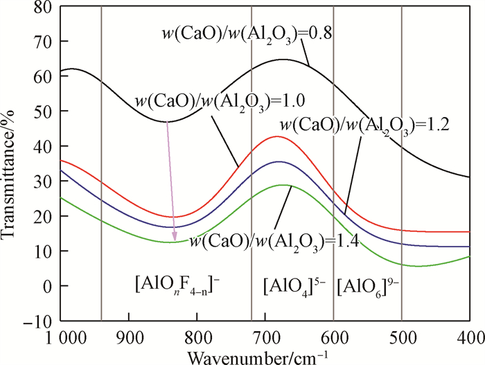
Y2O3质量分数和w(CaO)/w(Al2O3)对电渣重熔渣系物理化学性能的影响
韩呈鑫, 茆峰, 黄晓冬, 孟凡澳, 林昕悦, 张晓新, 燕青芝
中国冶金 ›› 2026, Vol. 36 ›› Issue (2) : 50-60.
PDF(8994 KB)
PDF(8994 KB)
Y2O3质量分数和w(CaO)/w(Al2O3)对电渣重熔渣系物理化学性能的影响
({{custom_author.role_cn}}), {{javascript:window.custom_author_cn_index++;}}Effect of mass fraction of Y2O3 and w(CaO)/w(Al2O3) on physicochemical properties of electro-slag remelting slag systems
({{custom_author.role_en}}), {{javascript:window.custom_author_en_index++;}}









| {{custom_ref.label}} |
{{custom_citation.content}}
{{custom_citation.annotation}}
|
/
| 〈 |
|
〉 |