PDF(13354 KB)
PDF(13354 KB)
PDF(13354 KB)
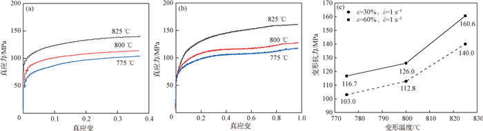
两相区变形工艺参数对微碳钢变形抗力的影响
({{custom_author.role_cn}}), {{javascript:window.custom_author_cn_index++;}}Effect of two-phase zone deformation process parameters on deformation resistance of ultra-low carbon steel
({{custom_author.role_en}}), {{javascript:window.custom_author_en_index++;}}








| {{custom_ref.label}} |
{{custom_citation.content}}
{{custom_citation.annotation}}
|
/
| 〈 |
|
〉 |