欢迎访问《钢铁》官方网站!今天是

2026年, 第61卷, 第1期 刊出日期:2026-01-15
  

  • 全选
    |
    综合论述
  • 杨晓东, 刘建华, 刘钊, 陈炼, 周遵传, 周渝
    摘要 ( ) PDF全文 ( ) XML 附件   可视化   收藏
    在钢铁行业高端化、智能化、绿色化转型加速推进的背景下,铁水预处理作为提升钢材品质的关键工艺环节,其重要性日益凸显。概述了国内外铁水预处理脱硫工艺的发展历程,重点分析了复合喷吹脱硫与机械搅拌脱硫2种主流技术的原理、应用现状和优缺点,梳理了高效脱硫技术的发展趋势。热力学和动力学分析表明,喷吹脱硫和机械搅拌脱硫各自优缺点明显,且具有较强的互补性。融合喷吹法与机械搅拌法各自优势的集成技术成为新型高效脱硫技术发展的趋势。攀钢西昌钢钒通过多次技术迭代研究,成功研发了旋转喷吹高效脱硫新技术,充分融合了复合喷吹技术脱硫剂脱硫能力强、铁水深层浸入喷吹脱硫剂、脱硫剂粒度小和用量少的优势与KR(Kambara reactor)技术机械搅拌能力强、流场控制好的优势。通过机械搅拌实现喷入粉气泡的充分细化与弥散化,在高硫铁水脱硫处理中表现出脱硫效率高、温降低、铁损低、成本低的明显优势,有望成为新一代高硫铁水预处理脱硫新技术。
  • 原料与炼铁
  • 韩秀丽, 刘剑炜, 段博文, 司天航, 袁晓宁, 方俊
    摘要 ( ) PDF全文 ( ) XML 附件   可视化   收藏
    随着钢铁工业对高炉低碳冶炼及降本增效的需求日益增长,采用国内铁精粉制备碱性球团矿成为高炉炼铁的发展趋势。针对当前碱性球团矿因铁精粉粒级组成不合理导致的机械强度不足、焙烧反应不均以及冶炼效率降低等问题,系统研究石人沟铁精粉粒级配比对碱性球团矿生球强度、爆裂温度及成球抗压强度、冶金性能和微观结构的影响。结果表明,随着粗粒级铁精粉所占比例增加,生球落下强度及抗压强度逐渐降低、爆裂温度逐渐升高,成球抗压强度呈现先上升后下降趋势;随着中粒级铁精粉所占比例增加,生球强度和爆裂温度与粗粒级所占比例增加的变化趋势一致,但成球抗压强度逐渐降低;随细粒级铁精粉所占比例增加生球强度逐渐升高、爆裂温度逐渐降低,成球抗压强度先上升后略有下降。适量的中粗粒级颗粒在造球过程中起“球核”和“骨架”作用,可保障球团内孔隙合理性;细粒级铁精粉所占比例增加有利于球团性能提高,在生球中通过增大比表面积来提升分子结合力,使颗粒间接触更紧密,促进成球中赤铁矿晶键形成及铁酸钙生成,成球的冶金性能整体改善,但过量则会降低铁精粉亲水性与成球性,阻碍氧化进程,加剧晶格膨胀,恶化球团质量,形成的矿相结构更脆弱。当粒级为>0.074、[0.044,0.074]、<0.044 mm铁精粉的配比(质量分数)分别为10%、20%、70%时,球团综合质量最优。
  • 张国成, 李红霞, 雍胜利, 魏国良, 刘景权, 柴轶凡
    摘要 ( ) PDF全文 ( ) XML 附件   可视化   收藏
    为了揭示自由碱度对球团抗压强度和组成结构的作用机制,探究了其对白云鄂博球团矿黏结相微区组成的影响。利用白云鄂博铁精矿,模拟带式焙烧机工艺制度,采用FactSage 8.2热力学模拟软件、金相显微镜、扫描电子显微镜和能谱(scanning electron microscopy-energy dispersive X-ray spectroscopy,SEM-EDS)以及电子探针(electron probe micro-analysis,EPMA)等技术手段,系统分析了不同自由碱度条件下球团矿的物相演变规律、微观结构变化和元素转移机制。研究表明,随着自由碱度Ro 由0.3增加至1.3,球团矿液相生成温度先上升后趋于稳定,理论液相生成量逐渐增多。当Ro提高至0.9时,球团矿抗压强度达到最大值,此时液相质量分数为10.60%,铁酸钙质量分数为8.00%,黏结相总质量分数达到18.60%;Ro继续提高至超过1.1时,黏结相生成量反而降低。EPMA检测结果显示,不同Ro球团矿液相微区组分主要以CaO和SiO2为主,随着Ro由0.7增加至1.3,液相碱度由0.92提高至1.53;铁酸钙相微区以Fe2O3为主,其质量分数为78%~84%,在黏结相的形成过程中,钙元素优先反应形成硅酸盐液相,后生成铁酸钙相。当Ro小于0.90时,钙元素主要形成硅酸盐液相;当Ro为1.1时,质量分数约为66%的钙元素进入硅酸盐液相,质量分数约为34%的钙元素进入铁酸钙相;继续提高Ro至1.3,反应形成铁酸钙的钙元素质量分数增加至40%。研究结果不仅揭示了Ro对球团矿黏结相形成过程的影响机制,而且明晰了铁酸钙和液相的组成以及钙元素的反应机制,为优化碱性球团矿制备工艺提供了理论支撑。
  • 田铁磊, 黄绍翔, 张玉柱, 龙跃, 刘洋
    摘要 ( ) PDF全文 ( ) XML 附件   可视化   收藏
    为了降低熔剂性球团中SiO2质量分数和球团的生产成本,采用低硅含钛的南非PMC(Palabora Mining Company)精粉替代高硅智利精粉生产低钛熔剂性球团,这对建立适用于大比例球团富氢冶炼的原料体系具有重要意义。系统研究了不同TiO2质量分数的低钛熔剂性球团的制备工艺及其在高炉富氢体系下的冶金性能,结合FactSage热力学计算、X射线衍射分析仪(X-ray diffractometer,XRD)和扫描电子显微镜-能谱仪(scanning electron microscopy-energy dispersive spectroscopy,SEM-EDS)分析,阐明了TiO2质量分数对球团矿液相生成、矿物组成及微观结构的影响机制。研究表明,TiO2质量分数提升会抑制球团矿液相生成,且温度超过1 240 ℃时,液相量急剧增加会破坏赤铁矿的晶键连接,适宜的焙烧温度区间较窄,因此焙烧温度应控制为1 240 ℃左右。随着TiO2质量分数从0.43%增加到0.93%,抗压强度呈现先升高、后降低的趋势,在TiO2质量分数为0.68%时达到最大值3 142 N/P,这主要是因为TiO2质量分数较低时钛铁矿的微晶结构和再结晶连接促进了球团结构的致密化,而TiO2质量分数继续升高,钛固溶到钛赤铁矿中,降低了钛赤铁矿中铁元素的质量分数,不利于赤铁矿结晶;还原度和还原膨胀率均呈下降趋势,这主要因为难还原的钛赤铁矿和假板钛矿质量分数增多;低温还原粉化指数(IRD>3.15 mm)同样先升高后降低,在TiO2质量分数为0.68%时达到最大值97.3%,适当提升TiO2质量分数可以细化晶粒从而提升球团的抗粉化性,但质量分数过高时,钛赤铁矿和假板钛矿交织在一起,在还原过程中产生内应力从而加剧球团粉化。
  • 肖传康, 张伟, 甘畅, 张菊花, 李鹏
    摘要 ( ) PDF全文 ( ) XML 附件   可视化   收藏
    炼铁工序碳排放量占钢铁行业碳总排放量的70%以上,在“碳达峰”和“碳中和”战略驱动下,高炉富氢低碳转型已成为最主要的研究方向之一,它主要通过风口喷吹氢气或富氢气体,以氢代碳,来减少碳排放。基于高炉运行时的速率方程和控制方程建立高炉喷吹氢气的一维动力学模型,模拟氢气喷吹对冶炼状态的影响,并利用高炉实际运行数据进行验证,得到喷吹不同氢气量时高炉热储备区变化情况以及对不同氢气量间接还原度的影响。结果表明,随着氢气喷吹量的增加,热储备区平均温度由不喷吹时的1 052 K升高至喷吹100 m3/t氢气时的1 243 K,热储备区的上边缘向下移动0.1 m,下边缘向下移动1.5 m,高度增加1.4 m。炉内整体间接还原度有所提升,铁矿石的间接还原度从60.68%增加到70.65%。动力学模型与能质平衡模型的计算结果非常吻合,说明增加氢气喷吹量有利于间接还原发生,整体上还原速率不断加快,对进一步降低高温区直接还原耗碳起到了积极作用。研究结果对低碳高炉的数字化转型具有重要的理论价值,进而可推动钢铁行业低碳转型。氢气制备技术的突破,配合数字化模型来优化喷吹参数,富氢高炉工艺有望成为向“氢冶金”过渡时期的核心路径。
  • 炼钢
  • 焦恩德, 上官方钦, 倪冰
    摘要 ( ) PDF全文 ( ) XML 附件   可视化   收藏
    随着汽车工业的快速发展和“双碳”目标的推进,传统高炉-转炉长流程生产汽车板的高碳排放问题日益突出。全废钢电炉流程因可显著降低碳排放,成为钢铁行业低碳转型的关键路径。首先分析汽车板的生产情况,探讨全废钢电炉冶炼工艺生产汽车板的机遇。按照汽车板的分类,分别讨论各类别中的典型钢种及电炉生产情况,说明目前的主要困难,包括对废钢的处理,对气体元素(包括氮、氢、氧元素)、碳元素、有害元素和其他元素的控制,对比电炉汽车板和高炉-转炉汽车板的成品差异。分析实际生产案例,总结这些生产成功案例中在废钢处理、冶炼工艺优化及产业链协同等方面的成功经验。研究表明,全废钢电炉冶炼工艺生产汽车板在技术上具备可行性。软钢中的低碳钢已实现大规模工业化量产,传统高强钢中碳锰钢、烘烤硬化钢和低合金高强钢,第一代先进高强钢中双相钢、相变诱导塑性钢、马氏体钢和复相钢以及第三代先进高强钢中的淬火配分钢等主流钢材已进入工业化生产。但通过电炉工艺生产软钢中的无间隙原子钢、第二代先进高强钢和第三代先进高强钢中无碳贝氏体钢等仍存在技术难题。未来,通过技术升级、智能化及产业链协同,电炉短流程有望成为汽车用钢绿色制造的主流方向。
  • 李红光, 郭睿刚, 王勇, 刘成松, 魏耀武, 张华, 倪红卫
    摘要 ( ) PDF全文 ( ) XML 附件   可视化   收藏
    随着铁路高效化运输的不断发展,钢轨质量要求不断提高,对重轨钢中非金属夹杂物的控制要求也越发严格。尺寸偏大的非金属夹杂物会恶化钢轨线路服役性能甚至降低其在线探伤合格率,对钢轨的生产成本控制和线路服役表现均产生不利影响,尤其夹杂物中含有硬质的MgO-Al2O3尖晶石颗粒时,夹杂物会急剧增加其对钢轨性能的恶化作用。基于此,以某钢轨企业生产的U75V重轨钢为对象,通过对其冶炼过程非金属夹杂物演变的研究,明确了从转炉终点到连铸工序非金属夹杂物由Al2O3-SiO2-MnO系向Al2O3-SiO2-CaO-MgO系演变的过程,阐明了钢中w(T[O])和w([N])以及非金属氧化物夹杂的数量密度、尺寸分布、平均成分的变化规律和原因。通过FactSage 8.2热力学软件计算了Al2O3-SiO2-CaO-MgO系夹杂物中MgO-Al2O3尖晶石形成的热力学条件,结果表明,夹杂物中Al2O3质量分数小于30%且MgO质量分数小于2%时,夹杂物中不会析出MgO-Al2O3尖晶石。控制夹杂物中MgO和Al2O3质量分数对重轨钢中大尺寸夹杂物的控制具有重要意义。基于钢液成分对夹杂物影响规律的讨论,发现了含有MgO-Al2O3尖晶石的大尺寸夹杂物为外来夹杂物。结合浸入式水口侵蚀行为的检测分析,揭示了含MgO-Al2O3尖晶石大尺寸Al2O3-SiO2-CaO-MgO系夹杂的形成机理,提出了优化中间包耐火材料、覆盖剂成分以及浸入式水口类型的控制技术思路,对重轨钢大尺寸非金属氧化夹杂的控制具有一定的指导意义。
  • 压力加工
  • 王振华, 赵晰阳, 谢宁杰, 刘元铭
    摘要 ( ) PDF全文 ( ) XML 附件   可视化   收藏
    构建材料制备工艺、微观组织、力学性能之间的映射关系一直是金属材料设计与优化研究的重要方向。传统数据驱动的金属材料力学性能预测模型只构建了制备工艺、材料成分与最终力学性能之间的关系,忽略了材料制备过程中微观组织对力学性能的显著影响作用。为了提高316不锈钢薄带材力学性能预测模型的准确性,提出采用残差神经网络算法结合轧制工艺数据与微观组织图像数据构建316不锈钢薄带材力学性能预测模型。建模前通过轧机数据采集系统获取不同规格316不锈钢薄带材轧制过程数据,得到高质量的工艺数据集。通过电子背散射衍射技术(electron backscatter diffraction, EBSD)获取不同工艺下薄带材微观组织的关键信息并与工艺数据进行深度融合,将建模数据转化为具有二维特征的数据集。在此基础上,利用带有CBAM (convolutional block attention module)注意力模块的ResNet18结构建立ResNet-CBAM-2D残差神经网络模型并对模型的超参数进行优化。将构建的ResNet-CBAM-2D模型与其他模型进行比较,结果表明,ResNet-CBAM-2D模型的预测精度最高,模型决定系数R2和平均绝对百分比误差EMAP、均方根误差ERMS和平均绝对误差EMA分别达到了0.980、3.616%、15.663和15.353。模型不仅能够准确预测316不锈钢薄带材的抗拉强度,还可以准确预测屈服强度和断后伸长率。研究结果为不锈钢薄带材轧制工艺优化和产品开发提供了新方法,具有重要的实用价值。
  • 朱嘉濠, 张豪, 王立萍, 白振华
    摘要 ( ) PDF全文 ( ) XML 附件   可视化   收藏
    某钢厂平整机组轧制超高强钢时因剥落而报废的工作辊比例高达74.07%,其根本原因为工作辊与支撑辊的辊间力分布不均且辊身中部力集中,考虑机组同时还使用不同直径工作辊轧制低强度钢,对该机组辊系关键参数进行协同优化。首先,建立同时适用于2种直径工作辊与1种直径支撑辊搭配的平整机板形解析模型,且该模型能反映2种辊系的受力情况,通过现场生产数据验证模型精度良好。接着,以低强度钢典型规格和钢种为研究对象,以低强度钢生产过程中的板形质量良好为约束条件,在弯辊力限定范围内,对支撑辊削肩的深度和宽度范围进行预优化。进一步,以典型规格和极限规格超高强钢为研究对象,采用粒子群优化算法,以最小化辊间接触压力峰值并均匀化辊间压力分布为优化目标,在支撑辊削肩参数预优化的基础上和弯辊力限定范围内,同时输出工作辊和支撑辊的关键辊系参数,实现辊系协同优化。然后,将输出的辊系参数代入板形解析模型,以板形质量最优为目标,遍历并输出不同钢种和规格的最优弯辊力。最后,将优化后的辊系参数和弯辊力代入板形解析模型,对比优化前后超高强钢的辊间力情况。结果表明,辊间力峰值平均降低了26.73%,辊间力均匀程度平均提高了49.98%。通过现场工业验证,辊系优化后,超高强钢和低强度钢产品板形依然保持良好,从根本上消除了工作辊剥落事故,并将换辊周期内的平均轧制吨位从997 t提升至1 231 t。本研究为平整机组多钢种、多规格轧制条件下的辊系优化提供了理论指导和工程实践,对提高生产效率、降低生产成本具有重要意义。
  • 钢铁材料
  • 曹杰, 梁磊, 孙浩, 王会廷, 沈晓辉, 潘红波
    摘要 ( ) PDF全文 ( ) XML 附件   可视化   收藏
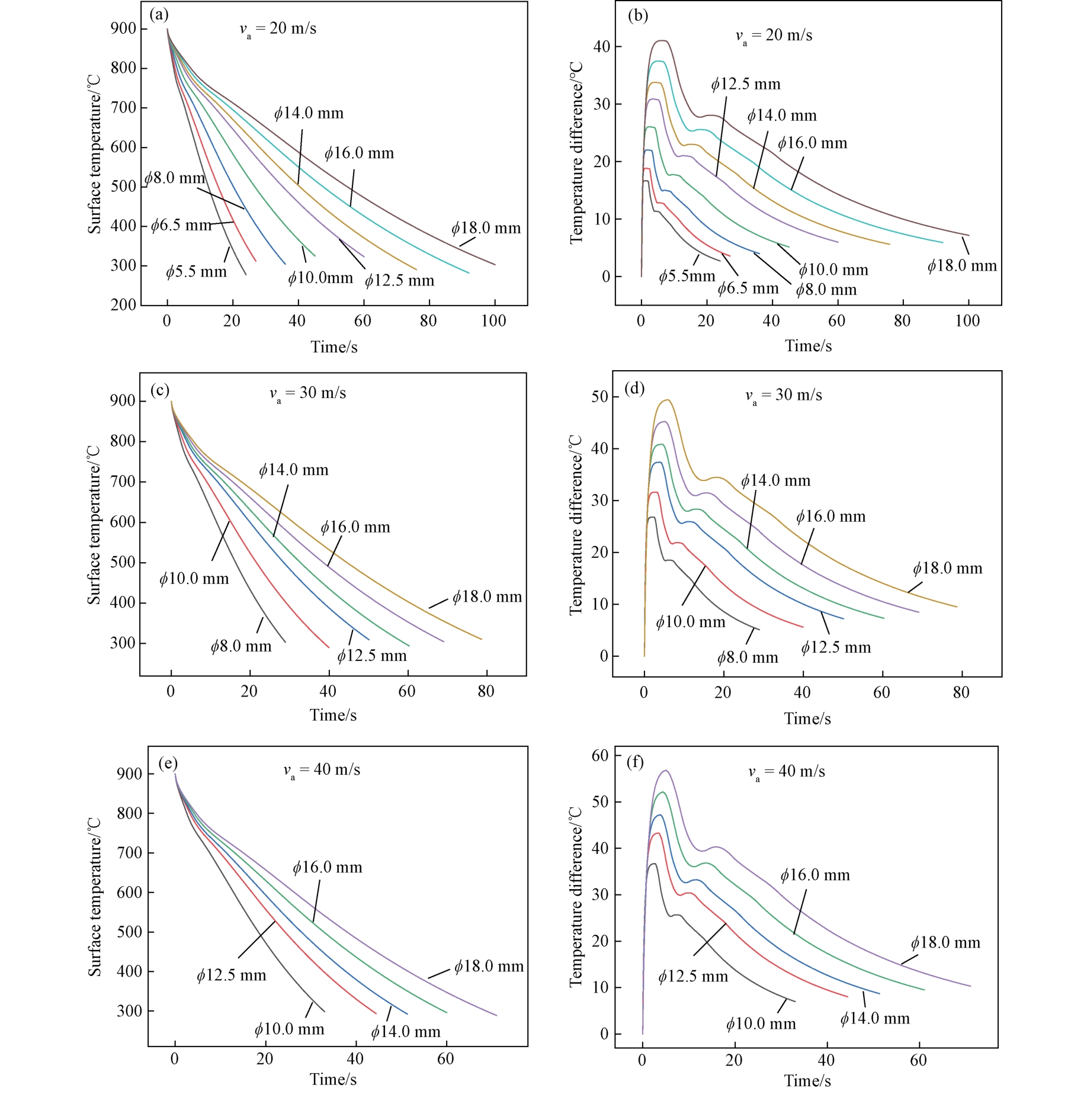
    高碳钢线材通常要求斯太尔摩风冷工艺有较强的冷却能力,但随着线材规格尺寸的增大,其风冷冷却能力下降。为确定线材规格尺寸对风冷能力的影响,以ϕ5.5~18.0 mm规格的线材为研究对象,计算确定了不同规格线材的风冷换热系数,采用有限元法模拟了高碳钢线材风冷过程。主要分析了不同规格线材相变前的风冷参数、线材规格尺寸及风速变化对风冷效果的影响。研究表明,风冷过程中线材在高温段的冷却速度变化较大,之后冷却速度变化平缓且线材内外冷却速度差值较小;线材相变开始时的冷却速度小于相变前的平均冷却速度;线材相变开始时的冷却速度与线材直径呈幂函数关系,与风速呈线性关系;而相变起始时刻的心表温差与直径和风速均呈线性相关。小规格线材相变开始时的冷却速度较大,且断面温度分布较为均匀。随着线材规格尺寸的增大,相变开始时的冷却速度减小、心表温差增加,强化风冷效果变差。当风速为40 m/s时,ϕ5.5~10.0 mm规格的线材相变开始时的冷却速度大于或接近所研究钢种珠光体转变的临界冷却速度;而ϕ12.5~18.0 mm大规格线材的相应冷却速度仅为14.4~9.0 ℃/s,远低于珠光体转变的临界冷却速度,风冷能力仍显不足。
  • 耿帆, 葛文凯, 曾志崎, 徐翔宇, 韩越兴, 付建勋, 武慧敏
    摘要 ( ) PDF全文 ( ) XML 附件   可视化   收藏
    复杂多相夹杂物的精准识别是开发环保型铋系易切削钢的关键。传统金相显微镜方法难以实现对含铋易切削相的可靠分类与统计,现有商业化夹杂物自动分析系统在识别亮暗共存、形态复杂的MnS-Bi复合夹杂物时仍存在识别能力不足的问题。基于U-Net神经网络已有的语义分割框架,结合矿物自动分析仪(mineral liberation analyzer,MLA)开发出自动图像颗粒分析系统,通过解析背散射电子(backscattered electron,BSE)衬度层级规律(铋>钢基体>MnS>硅酸盐),并以MLA分析数据作为训练掩膜,实现了对MnS、铋单质及其二元和三元复合夹杂物的精准分类。同时,通过与BSE结果的误差统计比较,构建夹杂物学习偏好机制,有效克服由MLA分辨率限制导致的识别误差,提升了模型精度。该系统可输出包括夹杂物类型、尺寸、面积、等效直径及空间分布在内的多维度量化数据。分类后的夹杂物统计结果表明,铋含量的提高对团簇状夹杂物数量略有改善作用,铋对夹杂物的粗化有一定促进作用;随着铋含量增加,铋单质颗粒的数量与尺寸均显著上升;铋元素更倾向于以Bi-MnS复合形式存在于较大尺寸夹杂物中。该方法不仅适用于当前含铋夹杂物体系,还可推广至其他复合第二相的智能识别与定量分析,为钢铁材料第二相的定量化表征与性能优化提供了可靠的技术路径。
  • 杨永坤, 冯闯, 戈子毅, 周计, 邱国兴, 李小明, 战东平
    摘要 ( ) PDF全文 ( ) XML 附件   可视化   收藏
    电池外壳作为新能源电池中重要的组成部分,对电池的储存性能和安全性能具有重要的作用,新能源电池包用高强钢凭借良好的安全性和物理稳定性逐渐成为动力电池核心的外壳材料,但AlN夹杂物导致的性能劣化问题急需解决。结合高温试验和模拟计算,探究了不同脱氧处理对钢中氮化物的影响。通过扫描电子显微镜和能谱分析仪(scanning electron microscopy-energy dispersive spectroscopy, SEM-EDS)观察发现,铝脱氧处理钢中氮化物为单个AlN夹杂物和聚集AlN夹杂物,其中可以观察到单一AlN为立方体形状,团簇AlN夹杂物尖角分明,钛处理后钢中氮化物主要为TiN夹杂物,其形貌为带有棱角特征的多边形或正方形。而Mg-Ti复合脱氧处理后钢中氮化物则以MgAl2O4-TiN形式存在。此外,铝脱氧钢和钛处理钢中,单独AlN夹杂物和TiN夹杂物的尺寸普遍大于5 μm,而MgAl2O4-TiN夹杂物的尺寸主要集中在1~3 μm。基于SEM-EDS结果,结合Bramfitt二维错配度理论对相关夹杂物间错配度进行计算,发现MgAl2O4和TiN的最小错配度仅为4.08%,而MgAl2O4和AlN的最小错配度为16.0%,这说明TiN可在MgAl2O4上异质形核析出。此外,结合第一性原理,揭示了MgAl2O4-TiN复合夹杂物的形核机理,优化MgAl₂O₄、TiN、AlN体相结构,构建对应表面与界面模型计算了MgAl2O4和TiN、AlN的界面能分别为3.137、3.596 J/m2,进一步表明TiN更易在MgAl2O4上形核。
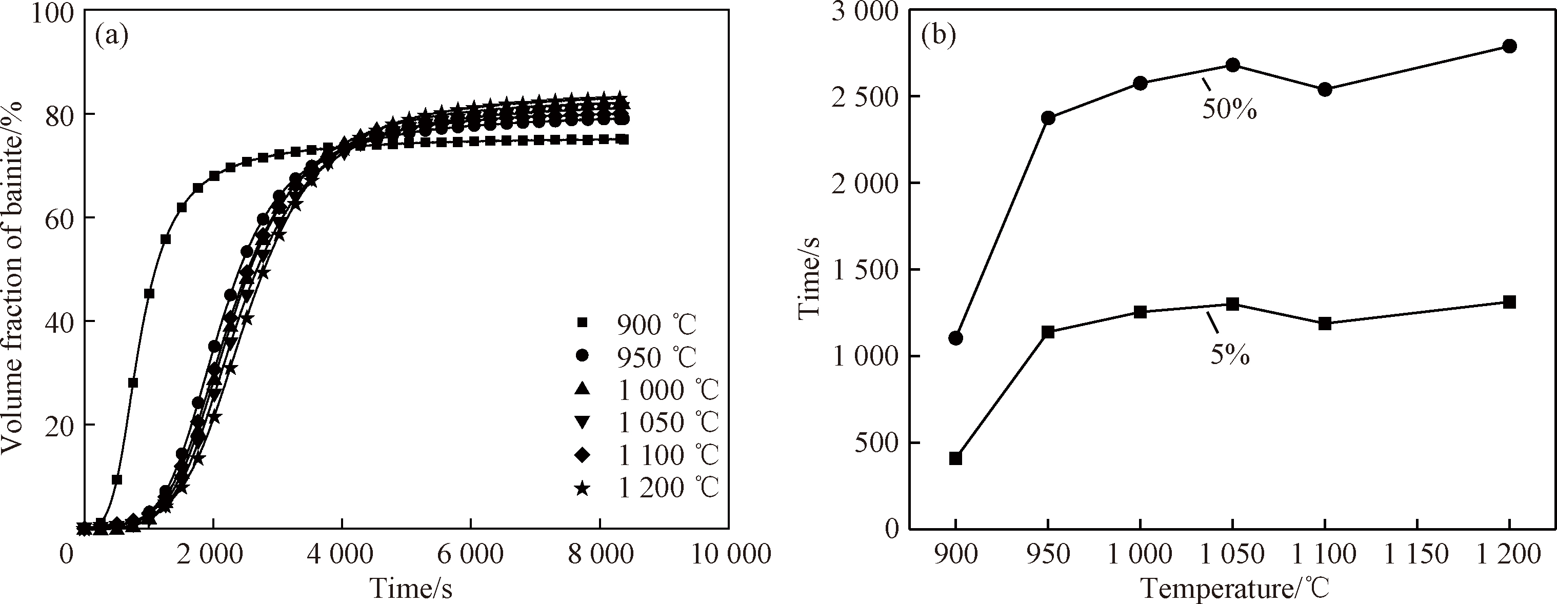
  • 陈振业, 周明星, 田俊羽, 甘晓龙, 齐建军, 张胜宏, 苏思琪, 程柯扬
    摘要 ( ) PDF全文 ( ) XML 附件   可视化   收藏
    高碳钢贝氏体相变速率较慢,加速其相变进程是重要研究课题。加热温度作为影响贝氏体相变速率的关键参数之一,其对相变过程的影响规律仍存在学术争议。以高碳含铬贝氏体钢为研究对象,采用热膨胀法、光学显微镜、扫描电子显微镜、透射电子显微镜、电子探针、高温共聚焦显微镜等方法和设备,研究了加热温度对贝氏体相变和组织的影响。结果表明,在原始奥氏体晶粒尺寸变化与合金元素回溶的竞争作用下,试验钢贝氏体相变速率随着加热温度的升高而降低。试验钢加热前存在大量微米级和亚微米级富铬、钼碳化物,其在低加热温度下的回溶速率缓慢。升高加热温度将促进第二相颗粒回溶,增大贝氏体相变激活能,从而减慢贝氏体相变速率。此外,加热温度对贝氏体相变的影响呈非线性特征,存在1个临界温度,加热温度超过该临界值后,相变动力学对温度变化的敏感性显著下降。另外,由于合金元素的偏析,以及第二相颗粒的带状析出,在较低加热温度下,原始奥氏体中形成了细晶区与粗晶区的带状分布特征,细晶区中存在大量未回溶富铬、钼碳化物。细晶奥氏体区中形成的贝氏体长度较短、厚度较大。升高加热温度后,原始奥氏体和贝氏体晶粒尺寸分布趋于均匀化。
  • 高擎, 周文浩, 郝家乐, 李玉路, 史术华, 卢兴福, 谢振家, 尚成嘉
    摘要 ( ) PDF全文 ( ) XML 附件   可视化   收藏
    随着海洋工程向深远海和极地拓展,海洋工程装备日益大型化,发展具备690 MPa级高强度、-60 ℃高韧性的特厚海洋工程用钢的需求十分迫切。然而,随着钢板强度级别和厚度规格的提升,特厚板1/2厚度(1/2T)位置的冲击韧性面临严峻挑战。对比研究了厚度为210 mm的FH690调质特厚海洋工程用钢板在1/4厚度(1/4T)和1/2T位置的显微组织与力学性能,旨在从晶体学特征角度揭示特厚板组织与低温韧性的关联。研究结果表明,厚度为210 mm的FH690工业试验钢板在1/4T与1/2T位置的拉伸性能相近,其屈服强度分别为776、767 MPa,抗拉强度分别为850、856 MPa,断后伸长率分别为20.5%和21.6%。系列温度冲击试验结果显示,虽然1/4T位置的上平台冲击功(约为141 J)高于1/2T位置(约为109 J),但两者的韧脆转变温度(ductile-brittle transition temperature,DBTT)差异不大,分别约为-78、-73 ℃。扫描电子显微镜(scanning electron microscopy,SEM)分析表明,试验钢在1/4T和1/2T位置的显微组织均为回火板条贝氏体,贝氏体基体中弥散分布着细小球状碳化物。透射电子显微镜(transmission electron microscopy,TEM)分析进一步确认,这些细小碳化物主要为尺寸约为100 nm的M23C6型析出相。晶体学特征分析表明,1/4T位置的原始奥氏体晶粒小于1/2T位置,但1/2T位置的block界面密度显著高于1/4T位置。示波冲击试验表明,在韧脆转变温度附近(-80 ℃)时,1/4T和1/2T位置的起裂功相近,分别为27、30 J,但1/4T位置的裂纹扩展功显著高于1/2T位置。这表明,高密度的大角度block界面有助于在低温冲击过程中保证起裂功并降低韧脆转变温度,而细小的原始奥氏体晶粒则可显著提升裂纹扩展功。
  • 周乃鹏, 杜舒宁, 罗小兵, 柴希阳
    摘要 ( ) PDF全文 ( ) XML 附件   可视化   收藏
    氢冶金是在铁矿石的还原冶炼过程中,引入氢气作为还原剂和燃料的技术,因其可达到低品位铁矿石应用、钢铁行业降碳、高纯铁低成本制备等有益效果而受到广泛关注。采用纯氢冶金得到的高纯铁具有碳含量极低、洁净度高、耐蚀性高等特点。以氢冶金高纯铁为原料制备得到极低碳钢,采用金相、扫描电子显微镜(scanning electron microscope,SEM)、电子背散射衍射(electron backscatter diffraction,EBSD)、透射电子显微镜(transmission electron microscope,TEM)相结合的方法,获得了不同Ni-Cu合金含量的极低碳钢显微组织特征与力学性能,探究了Ni-Cu合金复合强化对极低碳钢的强化与脆化的作用机制。结果表明,通过添加镍元素及奥氏体区再结晶控制轧制可以有效细化轧态组织,得到20 μm级别的细小等轴状铁素体组织,镍含量越高晶粒细化效果越明显。通过添加铜元素及“淬火+回火”调质热处理工艺获得均匀弥散析出的纳米级富铜相,固溶强化、细晶强化与析出强化的复合强化机制使Ni-Cu极低碳钢的强度相较高纯铁提高400 MPa以上,屈服强度达到573 MPa,抗拉强度达到673 MPa,同时伸长率达到25%以上,具备良好的强塑性匹配。进一步分析了2NiCu试验钢回火后韧性大幅降低的原因,硬质富铜相析出物在回火过程中晶体结构转变为与软质铁素体基体不共格的面心立方(face centered cubic,FCC)结构,在变形过程中阻滞位错移动,造成应力集中,使材料发生脆化。
  • 环保与能源
  • 郭海鑫, 刘施岐, 吕砂里, 王军, 赵爱富, 赵明, 潘玉华, 李渭滨
    摘要 ( ) PDF全文 ( ) XML 附件   可视化   收藏
    干式离心粒化余热回收工艺在处理高炉渣时可克服水淬法出现的问题,因而将来有望成为极具前景的高炉渣处理工艺。然而,粒化后的半熔融炉渣颗粒容易发生黏结挂壁等问题,导致该工艺尚未实现工业化应用。聚焦于这些问题,采用折返逆流换热器与熔渣离心粒化相结合的方法对半熔融炉渣颗粒群进行强化冷却,并且建立了粒化室和换热室内高温炉渣颗粒群运动换热过程的三维计算流体力学(computational fluid dynamics,CFD)模型,对颗粒群的运动和换热行为进行数值模拟和验证,并分析影响多粒径颗粒群换热的关键参数。在此基础上,进一步研究了粒化室下方折返逆流换热器内颗粒群的运动与换热过程,并分析不同工艺参数对颗粒换热效果的影响,进而对换热室的结构尺寸进行了优化。数值模拟结果表明,颗粒粒径主要是通过改变颗粒比表面积和外部换热条件影响颗粒群的换热效果。经过结构优化后的离心粒化与折返换热装置能够有效减少颗粒黏结现象,并延长颗粒在换热室内的停留时间。优化后的折返换热室炉渣颗粒入口的最佳宽度为200 mm,冷却空气流速为0.08 m/s。本研究结果对熔渣离心粒化及余热回收技术的工业化应用具有重要意义。
  • 王倩, 晁乾锋, 苏畅, 贺雄飞, 刘加辉, 张浩
    摘要 ( ) PDF全文 ( ) XML 附件   可视化   收藏
    为缓解现有水泥基渗透结晶型防水材料(cementitious capillary crystalline waterproof, CCCW)依赖高成本原料现状,促进高炉矿渣与粉煤灰的资源化利用,创新性地采用全粉剂体系设计,基于普洛瓦型(Prova waterproof,PW)活性物质的组分特征,系统构建由羟基羧酸/氨基羧酸复合络合剂、硫酸钾盐/硫酸钙盐复合膨胀剂、碳酸盐/硅酸盐复合沉淀剂组成的多组分协同活性体系。以普通硅酸盐水泥和石英砂为基体材料,协同高炉矿渣微粉(简称矿粉)-粉煤灰复合粉构建多元胶凝体系,制备CCCW。通过正交试验设计结合功效系数法进行配比优化,其中,因素A为络合剂复合粉,即羟基羧酸络合剂(a1)/氨基羧酸络合剂(a2)的质量配比;因素B为膨胀剂复合粉,即硫酸钾盐膨胀剂(b1)/硫酸钙盐膨胀剂(b2)的质量配比;因素C为沉淀剂复合粉,即碳酸盐沉淀剂(c1)/硅酸盐沉淀剂(c2)的质量配比;因素D为矿粉-粉煤灰复合粉,即粉煤灰(d1)/矿粉(d2)的质量配比。综合考虑28 d抗折强度、28 d抗压强度、带涂层砂浆抗渗压力、去除涂层砂浆抗渗压力、湿基面黏结强度,确定最佳组合为A=2∶3、B=4∶1、C=3∶2、D=2∶3。在最佳配比下,最优试件L8的性能参数28 d抗折强度为8.36 MPa,28 d抗压强度为34.16 MPa,较PW分别提升10.1%、62.9%;带涂层砂浆抗渗压力为1.3 MPa,去除涂层砂浆抗渗压力为1.0 MPa;湿基面黏结强度为1.08 MPa,较PW提升7.8%,符合国标要求。络合剂复合粉通过与混凝土中的Ca²⁺发生络合反应,生成的可溶性钙络合物在水分作用下向混凝土内部扩散,并在裂缝或孔隙处重新释放Ca²⁺,进而与CO₃²⁻、SiO₃²⁻等反应生成C—S—H凝胶网络,堵塞孔隙并修复裂缝;膨胀剂复合粉在水化过程中产生适度体积膨胀,挤压毛细孔和微裂缝;沉淀剂提供CO₃²⁻、SiO₃²⁻等与Ca²⁺结合生成沉淀物,直接填充裂缝。矿粉-粉煤灰复合粉中大量CaO、SiO₂在碱性孔隙液中发生水解,释放Ca²⁺与SiO₃²⁻,形成C—S—H凝胶网络。研究结果为高炉矿渣与粉煤灰在防水材料中的高效资源化利用提供了新路径。
  • 李强, 陈铁军, 陈佳乐, 黄宇平, 李圣辉, 李奇勇
    摘要 ( ) PDF全文 ( ) XML 附件   可视化   收藏
    冶金尘泥的转底炉处理工艺是目前钢铁行业采用的主要处置工艺,但在实际生产过程中经常出现还原焙烧不均匀的问题。利用微观扫描电子显微镜(scanning electron microscopy,SEM)分析结合宏观Maps统计分析,对冶金尘泥还原焙烧的不均匀性进行详细的可视化、数据化分析。研究结果表明,冶金尘泥在焙烧温度为1 250 ℃、焙烧时间为15 min的条件下,熟球金属化率达到89.04%、脱锌率达到81.66%、抗压强度达到3.03 kN,熟球金属化率和脱锌率会随着焙烧温度提高和焙烧时间延长而进一步提高,但熟球抗压强度在焙烧时间过长时反而逐渐降低;熟球Maps统计分析表明,提高焙烧温度更有利于提高熟球外圈和下部的还原程度,而延长焙烧时间也更有利于提高熟球下部还原程度,但对熟球内部和外圈还原程度的提升作用比较相似;同时,提高焙烧温度也更有利于提升熟球下部的致密化程度,降低熟球上、下孔隙结构的不均匀性,进而显著提高熟球整体抗压强度;但焙烧时间过长会导致熟球中小孔隙融合为大孔隙,反而降低熟球抗压强度。此外,熟球中硅酸盐(渣相)和浮氏体(FexO)更容易破裂,而金属铁(Fe)可延缓裂纹蔓延,因而,适当提高熟球金属化率、降低硅酸盐(渣相)含量也有利于提高其抗压强度。基于Maps统计分析探究了冶金尘泥还原焙烧过程中物相及孔隙的变化规律,分析结果可以为转底炉工艺处理冶金尘泥的生产实践提供指导和建议。
  • 段志伟, 杜唯, 刘玉俊, 曹雨芊, 孙曼仪, 倪冰, 郭沛源, 上官方钦
    摘要 ( ) PDF全文 ( ) XML 附件   可视化   收藏
    钢铁行业是全球碳排放治理的重要领域,具有碳排放总量大、强度高、降碳难的特点。为顺利实现“双碳”目标,钢铁企业进行低碳转型迫在眉睫。 钢铁行业的低碳转型是系统性工程,需要社会多种要素的共同参与,其中转型金融在此过程中扮演着助力者的重要角色。此外,不同类型钢铁企业(央国企/民企、长流程/短流程、上市/非上市)融资特点和诉求不同、金融资源获取途径和难易程度也不尽相同。由此,在充分调研走访不同类型钢铁企业和金融机构的基础上,归纳整理现阶段转型金融支持不同类型钢铁企业低碳转型现状和存在的问题,并有针对性地提出意见建议。结果表明,现阶段转型金融的作用并未全面释放,缺乏全国统一的转型金融目录和执行标准。转型金融工具以传统信贷为主,创新性亟待提升。此外,转型金融工具与钢企诉求未有效匹配,更加需要资金支持的民营短流程钢企获取转型金融的难度高于央国企长流程钢企,呈现“锦上添花”而非“雪中送炭”的格局。以问题为导向,提出建立全国统一的转型金融目录和转型金融专项统计与激励机制,明确转型金融标准要求,不断创新转型金融工具,强化产业政策联动、拓宽钢企多元化融资渠道等建议。
  • 技术交流
  • 肖永力
    摘要 ( ) PDF全文 ( ) XML 附件   可视化   收藏
    全球冶金行业年产生约32亿t矿物流(含尾矿、炉渣等),其中工业碳排放所占比例达25%。传统钢铁流程呈现“铁素流-固废流”二元对立的线性模式,强制分离冶金渣质热双重属性,导致现有冶金渣资源化利用呈现低端化和低效化。针对该矛盾难题,提出“冶金派生矿物流(metallurgical derived mineral stream,MDMS)”理论概念和框架,在冶金流程工程学理论的指导下,突破传统铁素流单核模式,构建“质-热-构”协同调控在线产品化路径,实现冶金高温渣的质热资源高效利用、岩相定向调控和在线产品化。基于介观尺度工程调控理论,结合热力学相平衡模型与在线调控策略,开发了组分-结构-能量三位一体的技术体系。基于高炉、转炉渣流进行了工艺系统设计和熔渣调质反应器、梯度冷却塔及在线分选装备等关键设备的开发,形成高附加值的矿物建材产品链,计划实现全球推广与标准化建设。工程实践表明,MDMS突破了“末端治理”范式,将冶金渣资源化率提升至92%,经过生命周期评价(life cycle assessment,LCA)验证,吨钢碳排放降低0.82 t。高炉熔渣在线矿棉[导热系数小于0.042 W/(m·K)]与转炉钢渣沥青集料(压碎值小于12%)具备显著的技术经济优势。同时,MDMS系统具备显著经济性,系统投资回收期缩短至3.2年,为钢铁-建材-化工等多产业协同低碳转型提供了技术路径和可供参考的解决方案。